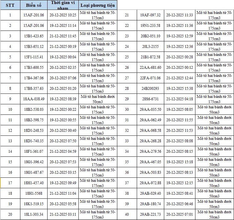
Danh sách 342 phương tiện bị phạt nguội qua camera AI ở Hà Nội
Ngày 6/1, Phòng Cảnh sát giao thông, Công an TP Hà Nội công bố danh sách 342 trường hợp phương tiện bị camera AI phát hiện vi phạm từ ngày 19-21/12/2025.
Phòng Cảnh sát giao thông Hà Nội cho biết đã gửi thông báo đến các chủ phương tiện vi phạm bao gồm cả ô tô và xe máy. Số này bao gồm 82 xe ô tô, 260 xe máy vi phạm được phát hiện qua hệ thống camera AI.
Kể từ ngày 13/12/2025, Công an thành phố Hà Nội chính thức đưa Trung tâm điều khiển giao thông Hà Nội vào hoạt động với 1.837 camera AI, phục vụ giám sát, xử lý vi phạm và điều hành tín hiệu giao thông.

Đây là những camera hiện đại với nhiều tính năng như quay quét 360 độ, nhận diện rõ sự vật, hiện tượng, đối tượng ở khoảng cách xa 500-700m; hoạt động được trong mọi điều kiện thời tiết, môi trường khắc nghiệt.
Hệ thống camera AI sẽ xử lý, phân tích hình ảnh và gửi về trung tâm giám sát để đọc dữ liệu và đối chiếu với cơ sở dữ liệu của hệ thống; giúp tăng độ chính xác phát hiện các hành vi vi phạm giao thông, tình hình an ninh trật tự, giảm độ trễ và tiết kiệm tài nguyên của hệ thống máy chủ tại trung tâm, từ đó cho phép mở rộng số lượng camera trong tương lai.
Theo Phòng CSGT Công an TP Hà Nội, dữ liệu từ hệ thống camera AI được lưu trữ trên nhiều máy chủ với thời gian tối đa lên tới 75 ngày. Nhờ đó, mạng lưới camera không chỉ ghi nhận vi phạm theo thời gian thực mà còn hỗ trợ lực lượng chức năng truy vết, kiểm tra và xác định các hành vi, hoạt động của phương tiện đã diễn ra trước đó.
Danh sách các phương tiện vi phạm:









